Artículos originales
Determinación de los niveles de anticuerpos antifosfolipídicos en pacientes con COVID-19
Determination of antiphospholipid antibody levels in patients with COVID-19
Determinación de los niveles de anticuerpos antifosfolipídicos en pacientes con COVID-19
Bioquímica y Patología Clínica, vol. 88, núm. 3, pp. 46-59, 2024
Asociación Bioquímica Argentina
Resumen: Introducción: El síndrome es una entidad caracterizada por trombosis y abortos recurrentes, asociada a títulos altos de anticuerpos antifosfolipídicos. Estos pueden surgir de manera transitoria en pacientes con enfermedad crítica e infecciones, incluyendo la COVID-19. Objetivos: Determinar los niveles de anticuerpos antifosfolipídicos y su asociación con parámetros de laboratorio en pacientes internados con diagnóstico de COVID-19. Materiales y métodos: Se realizó en el Nuevo Hospital San Roque un estudio analítico, prospectivo, correlacional y transversal de pacientes de género masculino y femenino mayores de 18 años, internados con diagnóstico de COVID-19 entre agosto de 2021 y agosto de 2022. Los niveles de anticuerpos antifosfolipídicos se determinaron con un kit comercial. Resultados: Para IgM anticardiolipinas, no se observaron diferencias estadísticamente significativas entre los pacientes control y caso, pero sí, para IgM anti-β2-glicoproteína-I e IgG anticardiolipinas y anti-β2-glicoproteína-I. En cuanto al análisis de los anticuerpos antifosfolipídicos “no-criterio”, se observaron diferencias estadísticamente significativas con respecto a IgM e IgG anticardiolipinas e IgM anti-β2-glicoproteína-I, pero no, para IgG anti-β2-glicoproteína-I. Al analizar el comportamiento a distintos intervalos de tiempo, se observaron diferencias estadísticamente significativas para IgM anticardiolipinas e IgM anti-β2-glicoproteína-I. Conclusiones: Los pacientes con COVID-19 presentan mayores niveles de anticuerpos antifosfolipídicos respecto de pacientes sin la afección.
Palabras clave: COVID-19, SARS-CoV-2, síndrome antifosfolipídico, anticuerpos antifosfolipídicos “no-criterio”.
Abstract: Introduction: Antiphospholipid Syndrome is a condition characterized by thrombosis and recurrent abortions associated with high titers of antiphospholipid antibodies. These may arise transiently in patients with critical illness and infections, including COVID-19. Objectives: To determine the levels of antiphospholipid antibodies and their association with laboratory parameters in hospitalized patients with COVID-19 diagnosis. Materials and methods: Analytical, prospective, correlational, and cross-sectional study of male and female patients over 18 years of age, hospitalized with COVID-19 diagnosis at Nuevo Hospital San Roque (Córdoba, Argentina) between August 2021 and August 2022. Antiphospholipid antibody levels were determined with a commercial kit. Results: No statistically significant differences were observed between the control and case patients for anti-cardiolipin IgM, whereas significant differences were observed for anti-β2-glycoprotein-I IgM, and anti-cardiolipin and anti-β2-glycoprotein-I IgG. Regarding the analysis of “non-criteria” antiphospholipid antibodies, statistically significant differences were observed for anti-cardiolipin IgM and IgG, and anti-β2-glycoprotein-I IgM, but not for anti-β2-glycoprotein-I IgG. When analyzing the behavior at different time intervals, statistically significant differences were observed for anti-cardiolipin and anti-β2-glycoprotein-I IgM. Conclusions: Patients with COVID-19 have higher levels of antiphospholipid antibodies than patients without the condition.
Keywords: COVID-19, SARS-CoV-2, antiphospholipid syndrome, “non-criteria” antiphospholipid antibodies.
Introducción
El síndrome antifosfolipídico (SAF) es una enfermedad autoinmune de etiología desconocida, que es el resultado de la interacción entre factores ambientales, hormonales y genéticos. Actualmente, el SAF se define como la entidad clínica que se asocia con la presencia de eventos trombóticos (arteriales y/o venosos), abortos recurrentes, livedo reticularis, trombocitopenia, anemia hemolítica y alteraciones neurológicas con títulos altos de anticuerpos antifosfolipídicos (aFL) circulantes1.
Los aFL son una familia heterogénea de inmunoglobulinas que reconocen diferentes factores o componentes proteicos (por ejemplo, anexina V, protrombina, proteína C, proteína S, entre otros). De acuerdo con los nuevos criterios de clasificación desarrollados por el Colegio Americano de Reumatología junto con la Alianza Europea de Asociaciones de Reumatología en el año 2023, la clasificación de SAF requiere una puntuación mínima de 3 respecto de dominios clínicos (macrovascular venoso, macrovascular arterial, microvascular, obstétrico, cardíaco y hematológico) junto con una puntuación mínima de 3 respecto de dominios de laboratorio. Estos últimos incluyen la presencia de anticoagulante lúpico (AL) positivo y/o la presencia de títulos moderados (40 a 79 unidades) a altos (>80 unidades) de anticuerpos IgM/IgG anticardiolipinas (aCL) y/o anticuerpos IgM/IgG anti-β2-glicoproteína-I (aβ2GPI), en dos o más ocasiones, luego de 12 semanas entre cada determinación1,2. Al día de hoy, en la práctica clínica, existe una proporción de pacientes con manifestaciones clínicas típicas, altamente sugestivas de SAF, pero que permanecen persistentemente negativos para aFL, incluidos en los criterios actuales. Estos pacientes han sido denominamos SAF seronegativos (SAFSN)3,4.
Los pacientes SAFSN, al igual que aquellos pacientes clásicos, presentan un mayor riesgo de eventos trombóticos y de complicaciones obstétricas. Estos eventos pueden ocurrir durante el curso natural de la enfermedad y, en casos raros, pueden resultar en un estado trombótico que conduce a una disfunción multiorgánica conocida como síndrome antifosfolipídico catastrófico (SAFC). La identificación de estos pacientes, manteniendo un seguimiento regular y proporcionando medicación terapéutica o preventiva, sigue siendo un desafío5.
La identificación, detección y la comprensión de los mecanismos del SAF han evolucionado con el desarrollo de ensayos que permiten la detección de aFL “no-criterio”. Dentro de estos, se incluyen los anticuerpos IgM/IgG antifosfatidilserina (aFS), anticuerpos IgM/IgG antifosfatidilinositol (aFI) y anticuerpos IgM/IgG anti-ácido fosfatídico (aAF), entre otros5.
El SAF puede manifestarse de manera aislada, sin ninguna otra condición asociada (SAF primario) o en el contexto de otra enfermedad de base, particularmente autoinmune, siendo la principal asociación con lupus eritematoso sistémico (LES) (SAF secundario). Las diferencias entre SAF primario y secundario fueron consideradas en diversos reportes e involucran características clínicas y de laboratorio, y aspectos genéticos e histológicos. A pesar de que las principales manifestaciones clínicas y las características biológicas son similares en ambos tipos, corresponden a dos entidades diferentes con características específicas para cada uno6,7.
En años recientes, los aFL y su cuadro clínico asociado han sido reconocidos gradualmente en diversas enfermedades autoinmunes y no autoinmunes. El vínculo entre los aFL y las trombosis venosas y/o arteriales recurrentes se ha analizado en numerosos estudios retrospectivos y prospectivos y, al parecer, tienen una función importante y directa en la patogénesis del estado trombofílico en el mencionado síndrome8. Estos anticuerpos pueden surgir de manera transitoria en pacientes con enfermedad crítica y en diversas infecciones. Su presencia de rara vez conduce a eventos que son difíciles de diferenciar de otras causas de trombosis multifocal en pacientes críticos, como la coagulación intravascular diseminada (CID), la trombocitopenia inducida por heparina y la microangiopatía trombótica9. Está bien documentado que diversos virus pueden gatillar una respuesta autoinmune, fenómeno que incluye tanto la producción de autoanticuerpos como el desarrollo de enfermedades autoinmunes. Entre ellos, la infección por el coronavirus de tipo 2 causante del síndrome respiratorio agudo (SARS-CoV-2) podría actuar de manera similar, dada la tendencia de los pacientes con COVID-19 a desarrollar diversos tipos de autoanticuerpos10. Los pacientes con COVID-19 presentan alteraciones en diversos parámetros de coagulación, que se correlacionan con la severidad de la enfermedad. Las primeras descripciones de la coagulopatía de esta enfermedad la identificaban como una CID. Sin embargo, la mayoría de los pacientes presentan niveles normales de factores de coagulación, fibrinógeno, y plaquetas, lo que sugiere que la COVID-19 induce un estado protrombótico único que difiere de las descripciones tradicionales de una coagulopatía inducida por sepsis11. Actualmente, hay un incremento en el reporte de aFL en pacientes con COVID-19 y su posible asociación con las manifestaciones trombóticas (arteriales y/o venosas)12. La correlación entre los aFL y los eventos trombóticos en pacientes con coronavirus es controvertida, lo que indica una clara necesidad de caracterizar la relevancia clínica de estos anticuerpos y la asociación a una respuesta autoinmune ligada a la generación de estos.
El objetivo general del estudio fue determinar los niveles de aFL y su asociación con parámetros de laboratorio en pacientes con COVID-19 internados en el Nuevo Hospital San Roque en el período comprendido entre agosto de 2021 y agosto de 2022; y los objetivos específicos: describir los parámetros de laboratorio de rutina en pacientes con COVID-19 y analizar la relación entre los niveles de aFL y parámetros de laboratorio de rutina.
Materiales y métodos
Se realizó un estudio analítico, prospectivo, correlacional y de corte transversal en el Servicio Bioquímico del Nuevo Hospital San Roque de la ciudad de Córdoba.
Universo
Pacientes internados con diagnóstico de COVID-19 confirmado por técnica de reacción en cadena de la polimerasa (PCR) o test rápido de antígeno SARS-CoV-2.
Muestra
Se estudiaron pacientes con diagnóstico de COVID-19, hospitalizados en el período comprendido entre agosto de 2021 y agosto de 2022 en el Nuevo Hospital San Roque. Se recolectaron 2 muestras de suero por paciente en distintos intervalos de tiempo: día 0-1 y entre el día 5-7 de internación, obtenidas por venopunción y conservadas a -20 C° hasta el momento de su utilización. Se incluyeron pacientes sin diagnóstico de COVID-19, hospitalizados en el nosocomio durante el mismo período y seleccionados como población normal, de los cuales se recolectó 1 muestra de suero al día 0-1 de internación bajo las mismas condiciones.
Criterios de inclusión
Pacientes de género masculino y femenino, mayores de 18 años, internados en Sala Común (SC) y Unidad de Terapia Intensiva (UTI) en el Nuevo Hospital San Roque, con diagnóstico de COVID-19 confirmado por PCR o test rápido de antígeno SARS-CoV-2, que firmaron el formulario de consentimiento informado, aprobado por el Comité de Ética.
Criterios de exclusión
Pacientes con enfermedad autoinmune de base, sin COVID-19 y menores de 18 años.
Variables
Edad, género, concentración de aFL, recuento de leucocitos, plaquetas, y medición de tiempo de protrombina (APP) y tiempo de tromboplastina parcial activada (KPTT).
Técnicas e instrumentos de recolección de datos
El estudio se llevó a cabo en el Servicio Bioquímico, Sección Inmunología del Nuevo Hospital San Roque de la ciudad de Córdoba. Del total de pacientes que ingresaron al nosocomio, se seleccionaron aquellos que cumplían con los criterios de inclusión propuestos.
Para la recolección de datos de los pacientes se utilizaron los programas THARSIS-IT® y Nobilis Wiener Lab®. Se recabó información de resultados de parámetros de laboratorio de interés asociados a la infección por SARS-CoV-2 y, en cuanto a datos sociodemográficos, solo se recabaron edad y sexo biológico. Una vez obtenida toda la información, la misma se registró en una planilla de Microsoft Excel versión 365. Posteriormente, los datos se procesaron en tablas y se realizaron los gráficos pertinentes empleando el programa estadístico InfoStat®.
Plan de análisis de datos
Los datos cualitativos se describieron utilizando frecuencias absolutas (n) y relativas (%).
Para la asociación entre las variables, se realizaron test de Chi cuadrado. Para las variables cuantitativas, se analizó la distribución de las mismas mediante pruebas de Shapiro - Wilk y prueba de bondad de ajuste de Kolmogorov. Se utilizaron como medidas descriptivas media y desvío estándar. Para comparar entre grupos, se utilizaron test de Wilcoxon.
Para analizar asociaciones entre variables cuantitativas, se realizaron test de correlación de Spearman. Se utilizaron gráficos de dispersión y gráficos box-plot para las variables cuantitativas. En los gráficos de dispersión, se incluyeron los resultados de rho de Spearman y p-valor para la correlación graficada. En los gráficos de box-plot, el borde superior de la caja representa el tercer cuartil (percentil 0,75), y el borde inferior, el primer cuartil (percentil 0,25); la línea dentro de la caja es la mediana y el punto dentro de la caja representa la media. Los bigotes representan los percentiles 0,05 y 0,95. Los valores considerados como extremos se muestran como puntos por fuera de los extremos de los bigotes.
Se consideró estadísticamente significativo un p-valor < 0,05. En los gráficos de box-plot, estas diferencias se presentaron con asteriscos (en caso de que hubiese diferencias entre dos grupos). Se utilizó Excel e InfoStat como softwares estadísticos para la carga y el análisis de los datos.
Procedimientos del estudio
Se obtuvieron por venopunción muestras de 5 mL de sangre, en tubos BD Vacutainer®, a las que se dejó coagular a temperatura ambiente, y se centrifugaron a 3500 revoluciones por minuto (RPM) durante 10 minutos. En el suero obtenido, se determinaron los aFL por el ensayo de inmunoabsorción ligado a enzima (ELISA).
Se realizó la determinación de los aFL (IgG/IgM aCL, IgG/IgM aβ2GPI, IgG/IgM aFS, IgG/IgM aFI, IgG/IgM aAF) con un kit comercial (Orgentec®), basado en antígenos adsorbidos en la superficie de los pocillos de una microplaca. Se incubaron las muestras diluidas (dilución 1/100) de los pacientes, el control Positivo (+), el control Negativo (-) y los calibradores en los pocillos correspondientes. A continuación, se incubaron con anticuerpos anti-IgG humana conjugados con peroxidasa. Finalmente, se añadió el sustrato 3,3`, 5,5`-tetrametilbencidina (TMB) en presencia de peróxido de hidrógeno (H2O2), que, al ser degradado por la peroxidasa, dio lugar a un producto de color azul. Luego, la reacción enzimática se detuvo con una solución de ácido sulfúrico (H2SO4), y la formación de producto amarillo se midió a 450nm en un lector de ELISA (Mindray MR-96A – Bioars®). La concentración de anticuerpos en la muestra fue proporcional a la absorbancia del producto de la reacción.
Los resultados de laboratorio de rutina que acompañan este trabajo se obtuvieron de las áreas de Hematología y Hemostasia de nuestra institución. Para el recuento de leucocitos, se utilizó el contador hematológico Sysmex® XN-1000 y, en el caso de las pruebas de coagulación, se utilizó el analizador STA Compact Max de STAGO®.
Consideraciones éticas
El proyecto fue aprobado por la Comisión de Investigación de Capacitación y Docencia del Nuevo Hospital San Roque. El mismo cuenta con un procedimiento de consentimiento informado, aprobado por el CIEIS “Comité Institucional de Ética de la Investigación del Niño y el Adulto, Polo Hospitalario”.
Recursos materiales
Kit comercial Orgentec® para la determinación de IgM/IgG aCL, IgM/IgG aβ2GPI, IgM/IgG aFS, IgM/IgG aFI, e IgM/IgG aAF, provisto por el Ministerio de Salud de la Provincia de Córdoba; lector de ELISA Mindray MR-96A – Bioars®, provisto por el Ministerio de Salud de la Provincia de Córdoba; contador hematológico Sysmex® XN-1000, provisto por el Ministerio de Salud de la Provincia de Córdoba; coagulómetro STA Compact Max de STAGO®, provisto por el Ministerio de Salud de la Provincia de Córdoba y computadora portátil, propiedad del investigador.
Resultados
Comparación de los niveles de aFL entre pacientes con COVID-19 y pacientes control
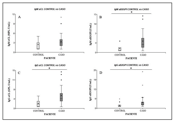
Se analizaron los datos de 48 pacientes internados con diagnóstico de COVID-19 (pacientes caso) y de 21 pacientes considerados como controles sanos (pacientes control). La edad media y desviación estándar de los pacientes caso y control fue de 55,75 ± 13,37 y 49,62 ± 16,36 años, respectivamente. En las Figura 1 y Figura 2, se puede observar la distribución por edad y género para los pacientes caso y control, respectivamente. En los pacientes control, se midieron los niveles de IgM e IgG tanto para aCL como para aβ2GPI y se compararon con los valores obtenidos de los pacientes caso. En la Figura 3, se pueden observar los resultados de estas comparaciones.
Para IgM aCL (Figura 3A), no se observaron diferencias estadísticamente significativas entre ambos grupos, a pesar de que los pacientes caso tuvieron un promedio de concentración más elevado que los controles (3,35 ± 2,25 MPL-U/mL y 2,43 ± 1,16 MPL-U/mL, respectivamente) (p-valor: 0,1335).
IgM aβ2GPI e IgG (tanto aCL como aβ2GPI) mostraron diferencias estadísticamente significativas entre pacientes casos y controles (Figuras 3B, 3C y 3D) (p-valor < 0,0001 para las tres comparaciones). IgM aβ2GPI, en pacientes control, tuvo una concentración promedio de 1,71 ± 0,90 U/mL, mientras que, en los pacientes caso, el promedio fue de 4,00 ± 2,57 U/mL (con valores máximos de 4 U/mL y 12 U/mL, respectivamente).
Al medir IgG aCL, en pacientes control, el promedio observado fue de 2,19 ± 1,25 GPL-U/mL (máximo = 5 GPL-U/mL) y, en los pacientes caso, el promedio fue de 5,17 ± 3,26 GPL-U/mL (máximo = 14 GPL-U/mL). En IgG aβ2GPI, los promedios fueron de 1,62 ± 1,24 U/mL (máximo = 6 U/mL) y de 3,50 ± 3,75 U/mL (máximo = 24 U/mL) para pacientes control y pacientes caso, respectivamente.
De acuerdo con los puntos de corte determinados por el fabricante, de cada uno de los kits de detección, se clasificaron los valores observados para las cuatro variables analizadas en positivo, negativo o valores borderline, y se observó cuáles fueron los resultados para pacientes control y pacientes caso (Tabla I). Del total de 48 pacientes caso, solo 9 (18,8%) arrojaron resultados positivos, con una tasa de simple positivo de 66,7% (6 pacientes) y una tasa de doble positivo de 33,3% (3 pacientes). Sin embargo, ninguno de ellos superó los valores diagnósticos (≥40 títulos) tanto para IgM/IgG aCL como para IgM/IgG aβ2GPI. En la Tabla II, se puede observar el valor de los resultados de los 9 pacientes caso positivos. En los pacientes control, los resultados para los cuatro parámetros fueron en el 100% de los casos negativos (excepto para IgG aβ2GPI, en donde se observó un paciente con resultado borderline). En los pacientes caso, para IgM aCL, se detectó un 4% de pacientes positivos; en IgG aCL, un 10% de positivos; en IgM aβ2GPI, un 6% de positivos y un 25% borderline, y en IgG aβ2GPI, un 4% de positivos y un 10% de resultados borderline. Las diferencias solo fueron estadísticamente significativas para IgM aβ2GPI; los restantes tres parámetros no tuvieron asociaciones significativas entre el tipo de paciente y el resultado categorizado observado.



| Variable | Categorías | Control | Caso | ||
| N | % | N | % | ||
| IgM aCL | Negativo (<10 MPL-U/mL) | 21 | 100% | 46 | 96% |
| Positivo (≥10 MPL-U/mL) | 0 | 0% | 2 | 4% | |
| IgG aCL | Negativo (<10 GPL-U/mL) | 21 | 100% | 43 | 90% |
| Positivo (≥10 GPL-U/mL) | 0 | 0% | 5 | 10% | |
| IgM aβ2GPI | Negativo (<5 U/mL) | 21 | 100% | 33 | 69% |
| Borderline (5-8 U/mL) | 0 | 0% | 12 | 25% | |
| Positivo (>8 U/mL) | 0 | 0% | 3 | 6% | |
| IgG aβ2GPI | Negativo (<5 U/mL) | 20 | 95% | 41 | 85% |
| Borderline (5-8 U/mL) | 1 | 5% | 5 | 10% | |
| Positivo (>8 U/mL) | 0 | 0% | 2 | 5% | |
| Pacientes caso | IgM aCL (MPL-U/mL) | IgG aCL (GPL-U/mL) | IgM aβGPI (U/mL) | IgG aβGPI (U/mL) |
| 1 | 11 | 7 | 12 | 5 |
| 2 | 2 | 3 | 2 | 15 |
| 3 | 1 | 14 | 2 | 24 |
| 4 | 3 | 11 | 2 | 4 |
| 5 | 2 | 13 | 3 | 3 |
| 6 | 4 | 14 | 5 | 2 |
| 7 | 3 | 11 | 4 | 3 |
| 8 | 11 | 3 | 11 | 2 |
| 9 | 9 | 4 | 12 | 4 |
Relación entre los niveles de aFL y parámetros de laboratorio de rutina
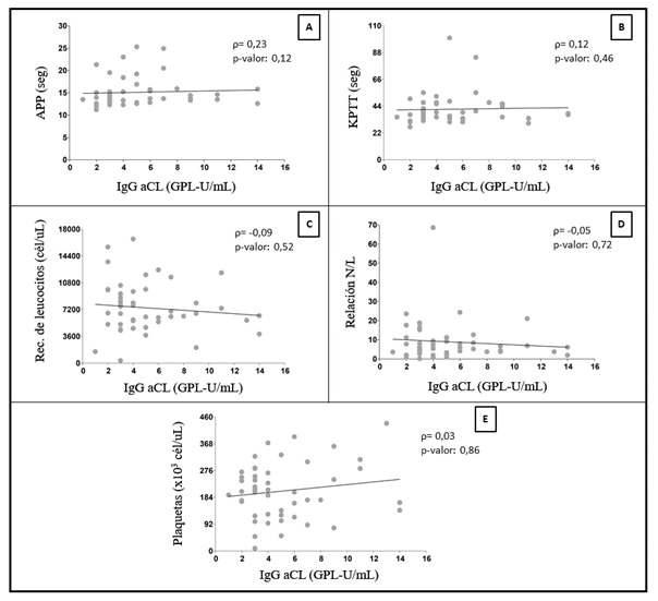
Se analizó la correlación entre los aFL y los valores de hemostasia -hematología. En la Figura 4 se pueden observar las correlaciones entre los valores de IgM aCL y las cinco variables de hemostasia - hematología. Las asociaciones entre todos los parámetros fueron no significativas, y los datos tuvieron una alta dispersión que no permitió detectar una relación entre las distintas duplas analizadas.
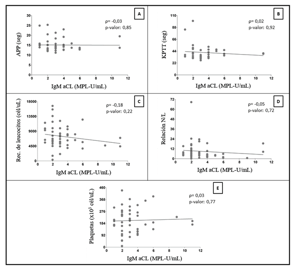
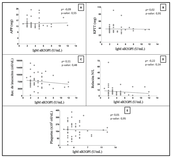
Al igual que con las correlaciones anteriores, las asociaciones entre IgG aCL y las variables de hemostasia - hematología (Figura 5) tampoco fueron estadísticamente significativas, y se observó una gran dispersión de datos. Estos patrones se repitieron para IgM aβ2GPI (Figura 6) e IgG aβ2GPI (Figura 7).





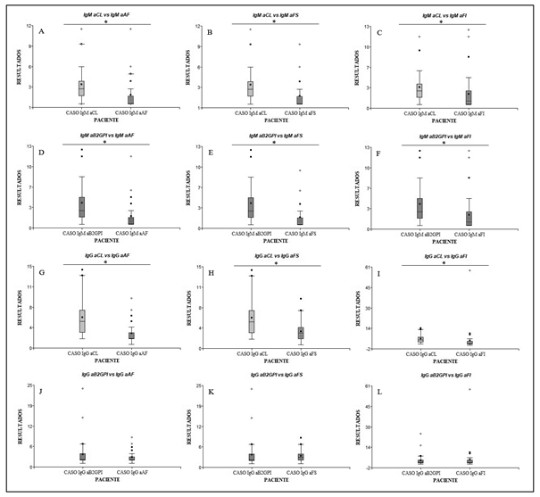
Relación entre aFL convencionales y aFL “no-criterio”
Para establecer la asociación entre los aFL incluidos dentro de los criterios de clasificación actuales y los aFL “no-criterio” se analizaron los datos de 40 de los 48 pacientes internados con COVID-19 y se compararon los valores de IgM/IgG aCL e IgM/IgG aβ2GPI con cada uno de los valores obtenidos para IgM/IgG aAF, IgM/IgG aFS e IgM/IgG aFI. En la Figura 8, se pueden observar los resultados de estas comparaciones. De acuerdo con los puntos de corte determinados por el fabricante, solo 1 paciente presentó valores de IgM aAF por encima del corte (11 MPL-U/mL), 2 presentaron valores de IgM aFI por encima del corte (11 MPL-U/mL y 12 MPL-U/mL, respectivamente) y 2, valores de IgG aFI por encima del corte (10 GPL-U/mL y 58 GPL-U/mL, respectivamente). El resto de los pacientes presentó valores por debajo del corte.
Para IgM e IgG aCL, las diferencias fueron estadísticamente significativas con respecto a IgM aAF (Figura 8A) (p-valor: 0,0002); IgG aAF (Figura 8B) (p-valor < 0,0001); IgM aFS (Figura 8C) (p-valor: 0,0001); IgG aFS (Figura 8D) (p-valor: 0,0001); IgM aFI (Figura 8E) (p-valor: 0,015) e IgG aFI (Figura 8F) (p-valor < 0,0001), con un promedio más elevado que los aFL “no-criterio” (3,58 ± 2,40 MPL-U/mL y 5,73 ± 3,28 GPL-U/mL vs. 2,18 ± 1,89 MPL-U/mL y 2.88 ± 2,02 GPL-U/mL; 2,08 ± 1,72 MPL-U/mL y 3,33 ± 1,85 GPL-U/mL, y 2,53 ± 2,57 MPL-U/mL y 4,45 ± 8,96 GPL-U/mL, respectivamente).
En cuanto a IgM aβ2GPI, las diferencias también fueron estadísticamente significativas con respecto a IgM aAF, IgM aFS, e IgM aFI (Figuras 8G-I) (p-valor < 0,0001 para todos los casos). Los valores promedio (4,18 ± 2,76 U/mL) también fueron mayores en comparación con los aFL “no-criterio”. Por otro lado, al medir IgG aβ2GPI, no se observaron diferencias estadísticamente significativas con respecto a IgG aAF (Figura 8J) (p-valor: 0,2326), IgG aFS (Figura 8K) (p-valor: 0,6519) e IgG aFI (Figura 8L) (p-valor: 0,4673).
Comportamiento de los aFL a distintos intervalos de tiempo
Se compararon los valores de los parámetros de inmunoglobulinas en 35 pacientes, a quienes se les pudo realizar el seguimiento, para analizar cómo evolucionaron los valores de laboratorio. En la Tabla II, se pueden observar los valores promedio y valores de dispersión asociados a cada uno en los distintos tiempos. Los valores de IgM aCL presentaron diferencias estadísticamente significativas (p-valor: 0,0156). Se observó una media de 3,31 ± 2,04 MPL-U/mL en la primera medición, y ese valor promedio aumentó a 4,43 ± 3,12 MPL-U/mL en la segunda medición. Por el contrario, en los valores de IgM aβ2GPI, se observó un descenso estadísticamente significativo en el promedio al comparar las dos mediciones: de 3,94 ± 3,26 U/mL, los pacientes pasaron a un promedio de 3,26 ± 2,98 U/mL en la segunda medición (p-valor: 0,0150).
Para los valores de IgG aCL, también se observó un descenso en el valor promedio (5,51 ± 3,55 GPL-U/mL y 4,77 ± 2,57 GPL-U/mL respectivamente), mientras que los valores de IgG aβ2GPI aumentaron en la segunda medición (de 3,74 ± 4,30 U/mL a 3,91 ± 7,68 U/mL, respectivamente). En estos casos, las diferencias observadas no fueron estadísticamente significativas.
Discusión
Está documentado que la presencia de aFL en el contexto de la COVID-19 puede ser un fenómeno secundario a la infección. La presencia de estos anticuerpos por sí solos no es suficiente para provocar un evento trombótico, sino que se necesita de una actividad inflamatoria intensa como la de la COVID-199.
De acuerdo con el trabajo de Espinoza y colaboradores13, los posibles mecanismos patogénicos de los aFL se pueden agrupar de manera general en los que causan: 1) efecto sobre los mecanismos procoagulantes y anticoagulantes que se llevan a cabo en las membranas de algunas células y 2) activación de células blanco e inducción de la expresión y secreción de diversas moléculas. Sin embargo, dada la heterogeneidad de las manifestaciones clínicas, es probable que más de un mecanismo fisiopatológico participe en el desarrollo de la enfermedad1.
Se ha observado una prevalencia inusualmente elevada de eventos tromboembólicos durante el curso de la COVID-19. Mientras que los mecanismos involucrados en el estado hipercoagulable que pueden llevar a una coagulopatía en pacientes con COVID-19 permanecen sin ser del todo claros, ha sido reportado un incremento en la prevalencia de aFL en estos pacientes por diversos grupos de investigación. Esto es importante dado que la presencia de aFL puede resultar en anormalidades que incluyen prolongación de los tiempos de coagulación y/o manifestaciones clínicas que van desde trombocitopenia hasta un SAF, en donde el estado protrombótico adquirido generado por los aFL es el responsable de un incremento significativo en el riesgo de trombosis venosa, arterial, y microvascular14.
En el caso de la infección por SARS-CoV-2, los primeros estudios identificaron de manera inesperada una alta incidencia de aFL en pacientes con COVID-1915,16,17 internados en UTI18, con una tasa acumulada de 27,6% dentro de las primeras 24 horas de admisión al nosocomio19. Además, las autopsias revelaron trombosis venosas profundas hasta en un 58% de pacientes con COVID-19 severa en los que no se sospechaba previamente de tromboembolismo venoso20.
En una serie de 21 pacientes hospitalizados en UTI con COVID-19 severa o crítico, 67% de ellos presentaba positividad para al menos uno de los aFL: 25% presentaba doble positividad y 8%, triple positividad (AL, aCL, y aβ2GPI). IgM aCL estaba presente en el 14% de los pacientes e IgG aCL, en el 10%21.
En otra investigación con 31 pacientes con COVID-19 en UTI, 7 de 9 pacientes con manifestaciones trombóticas presentaban al menos 1 aFL, y 16 de 22 pacientes sin trombosis también presentaban positividad para estos22. Otro estudio demostró la presencia de aFL en el 52% de 172 pacientes hospitalizados con COVID-19 e incluyó 23% de IgM aCL, 24% de IgM antifosfatidilserina/protrombina (aFS/PT), y 18% de IgG aFS/PT 13El hallazgo de que otro trabajo encontró alrededor del 12% de prevalencia de IgM/IgG aCL e IgG aβ2GPI23 indica la variabilidad que existe entre cohortes de pacientes y lugares donde se realiza la determinación.
Con base en los resultados de este estudio, encontramos una baja prevalencia de aFL en la cohorte de pacientes estudiados (4% IgM aCL, 5% IgG aCL, 6% IgM aβ2GPI y 4% IgG aβ2GPI), lo que condice con la gran variabilidad existente entre la población de estudio y el lugar donde se lleva a cabo el análisis. La principal diferencia puede deberse a que la mayoría de los casos estudiados en la literatura corresponden a pacientes críticos o con enfermedad muy severa, mientras que los pacientes analizados en nuestro trabajo son, en su mayoría, pacientes con enfermedad leve a moderada.
En otro estudio con pacientes con COVID-19 sin enfermedad crítica (por ejemplo, sin ingreso a UTI), la presencia de aFL fue un hallazgo común, con una prevalencia de IgM e IgG aβ2GPI de 8,7% y 2,9%, respectivamente24. Esto corresponde a resultados similares a los obtenidos en nuestro trabajo con una población similar.
De acuerdo con los resultados obtenidos, observamos que no existe relación entre los aFL convencionales (IgM/IgG aCL e IgM/IgG aβ2GPI) y parámetros de laboratorio de rutina, tales como tiempo de protrombina (APP), tiempo de tromboplastina parcial activada (KPTT), recuento de leucocitos, recuento de plaquetas y relación neutrófilo/linfocito (R N/L). Si bien la principal alteración observada en estos pacientes es el aumento de la R N/L, propia de la neutrofilia característica de la enfermedad, esta es independiente de la presencia o ausencia de los aFL.
En cuanto al análisis de los aFL “no-criterio”, la literatura acerca de su comportamiento en pacientes internados con COVID-19 es escasa. Sin embargo, su utilidad en el diagnóstico de SAF en pacientes seronegativos ha sido ampliamente estudiada5,13,25.
Con base en nuestros resultados, encontramos que la determinación de IgG tanto para aAF como para aFS y aFI respecto de IgG aCL y aβ2GPI no representa ventaja alguna en la identificación de pacientes de riesgo para manifestaciones trombóticas o SAF. La misma situación se replica para la determinación de IgM, en donde encontramos valores aún más bajos con respecto a los aFL convencionales. Un estudio longitudinal llevado a cabo durante 15 años demostró que el riesgo de sufrir alguna manifestación trombótica se incrementa progresivamente con el número de aFL positivos26. Los pacientes que desarrollan SAFC presentan el mayor número de aFL “no-criterio”, por lo tanto, el perfil de aFL es más importante que la determinación aislada de ellos tanto para el diagnóstico como para la estratificación de riesgo de SAF25,27. En este estudio, la ausencia de aFL convencionales y “no-criterio” en títulos moderados o altos (≥40 títulos) se correlaciona con la ausencia de desarrollo de SAF o SAFC en la población de estudio.
Para cumplir con los criterios de clasificación de SAF, la positividad de los aFL debe confirmarse en 2 oportunidades con al menos 12 semanas de diferencia entre cada determinación, dado que estos pueden aparecer de manera transitoria y no específica durante episodios infecciosos agudos28. Sin embargo, la mayoría de los estudios realizados solo han llevado a cabo una única determinación, y aquellos que realizaron una segunda lo hicieron en un tiempo menor que el de las 12 semanas. Solo dos estudios confirmaron de manera sistemática la positividad de los aFL de acuerdo con los criterios de clasificación29,30.
Los aFL pueden negativizarse en la segunda determinación. Este fenómeno es más común para el AL22, 29,30,31,32, pero también se ha observado lo mismo para el resto de los aFL32. Según la literatura, los niveles de aCL y aβ2GPI no presentan variaciones significativas en la segunda medición22,29.
Con base en los resultados obtenidos, no observamos cambios significativos en la segunda determinación (antes de la semana 12) de IgG aCL e IgG aβ2GPI respecto de la primera, lo que coincide con la bibliografía. Sin embargo, sí observamos variaciones significativas para IgM aCL e IgG aβ2GPI, aunque esta variación no permitió diferenciar a aquellos pacientes con riesgo de SAF, dado que no se obtuvieron valores que cumplieran con los criterios de clasificación actuales.
Los pacientes con COVID-19 presentan mayores niveles de aFL con respecto a pacientes sin la afección (pero siempre dentro de los valores de referencia), lo que sugiere que, en aquellos individuos genéticamente susceptibles, ciertas infecciones, así como también procesos inflamatorios, podrían inducir una respuesta autoinmune. Sin embargo, este aumento no es suficiente para clasificar a estos pacientes con SAF, ya que no se cumple con los criterios de clasificación actuales. Los resultados del presente estudio no muestran correlación entre la infección por SARS-CoV-2 y el desarrollo del síndrome, dada la falta de asociación entre resultados positivos de aFL (por encima del valor de corte, pero por debajo del valor diagnóstico) y parámetros de laboratorio de rutina. También observamos que la determinación de aFL “no-criterio” no aporta información adicional al diagnóstico de SAF, por lo que no se justifica su medición.
Será necesario realizar un estudio a gran escala, con una mayor cohorte de pacientes con COVID-19 donde la composición de los aFL sea puesta en contexto con el curso de la enfermedad y, esencialmente, con los eventos trombóticos, así como también sería ideal realizar una mayor cantidad de determinaciones en el tiempo para llegar a conclusiones más determinantes.
Referencias bibliográficas
1. Núñez-Álvarez CA, Cabiedes J. Mecanismos patogénicos de los anticuerpos antifosfolípidos. Reumatol Clin. 2011; 7(1):72–76, http://dx.doi.org/10.1016/j.reuma.2009.10.005
2. Funke A, Staub HL, Monticielo OA, Balbi GGM, Danowski A, Santiago MB, et al. Non-criteria Antiphospholipid Antibodies: a narrative review. Revista da Associacao Medica Brasileira. 1992; 66(11):1595–1601, http://dx.doi.org/10.1590/1806-9282.66.11.1595
3. Wilson WA, Gharavi AE, Koike T, Lockshin MD, Khamashta MA. International consensus statement on preliminary classification criteria for definite antiphospholipid syndrome: report of an international workshop. Arthritis Rheumatol. 1999;42(7):1309–11, http://dx.doi.org/10.1002/1529-0131(199907)42:7<1309::AID-ANR1>3.0.CO;2-F
4. Hughes GR, Khamashta MA. Seronegative antiphospholipid syndrome. Ann Rheum Dis. 2003;62(12):1127, http://dx.doi.org/10.1136/ard.2003.006163
5. Liu T, Gu J, Wan L et al. “Non-criteria” antiphospholipid antibodies add value to antiphospholipid syndrome diagnoses in a large Chinese cohort. Arthritis Res Ther. 2020; 22(33), http://dx.doi.org/10.1186/s13075-020-2131-4
6. Piette JC, Wechsler B, Frances C, Papo T, Godeau P. Exclusion criteria for primary antiphospholipid syndrome. J Rheumatol 1993; 20:1802–4.
7. Belizna C, Stojanovich L, Cohen-Tervaert JW, Fassot C, Henrion D, Loufrani L, et al. Primary antiphospholipid syndrome and antiphospholipid syndrome associated to systemic lupus: Are they different entities? Autoimmunity Reviews 2020; 17(8):739–745, http://dx.doi.org/10.1016/j.autrev.2018.01.027
8. Pouymiró Pubillones PO, Pouymiró Brooks Y, Pouymiró Brooks I. Síndrome de anticuerpos antifosfolípidos. Medisan. 2012; 16(3):429–44.
9. Zhang Y, Xiao M, Zhang S, Xia P, Cao W, et al. Coagulopathy and antiphospholipid antibodies in patients with covid-19. N Engl J Med. 2020; 382(17):e38, http://dx.doi.org/10.1056/NEJMc2007575
10. Dotan A, Muller S, Kanduc D, David P, Halpert G, et al. The SARS-CoV-2 as an instrumental trigger of autoimmunity. Autoimmunity reviews. 2021; 20(4), http://dx.doi.org/10.1016/j.autrev.2021.102792
11. Iba T, Di Nisio M, Thachil J, Wada H, Asakura H, et al. A Proposal of the Modification of Japanese Society on Thrombosis and Hemostasis (JSTH) Disseminated Intravascular Coagulation (DIC) Diagnostic Criteria for Sepsis-Associated DIC. Clin Appl Thromb Hemost. 2018; 24(3):439-445, http://dx.doi.org/10.1177/1076029617720069
12. Zuo Y, Estes SK, Gandhi AA, Yalavarthi S, Ali RA, et al. Prothrombotic autoantibodies in serum from patients hospitalized with COVID-19. Science Translational Medicine. 2020; 12(570), http://dx.doi.org/10.1126/scitranslmed.abd3876
13. Espinoza G, Cervera R, Font J, Shoenfeld Y. Anthiphospholipid syndrome: pathogenic mechanism. Autoinmmun Rev. 2003;2:86–93, http://dx.doi.org/10.1016/s1568-9972(02)00144-1
14. Chock YP, Moulinet T, Dufrost V, Erkan D, Wahl D, et al. Antiphospholipid antibodies and the risk of thrombocytopenia in patients with systemic lupus erythematosus: a systematic review and meta-analysis. Autoimmun Rev 2019; 18(11):102395, http://dx.doi.org/10.1016/j.autrev.2019.102395
15. Tvito A, Zimmerman FS, Asher E, Helviz Y. Lupus anticoagulant in patients with COVID-19. Int J Lab Hematol. 2021; 43(1):17–18, http://dx.doi.org/10.1111/ijlh.13334
16. Harzallah I, Debliquis A, Drénou B. Lupus anticoagulant is frequent in patients with Covid-19. J Thromb Haemost. 2020; 18(8):2064–2065, http://dx.doi.org/10.1111/jth.14867
17. Pineton de Chambrun M, Frere C, Miyara M, Amoura Z, Martin-Toutain I, et al. High frequency of antiphospholipid antibodies in critically ill COVID-19 patients: a link with hypercoagulability? J Intern Med. 2021; 289(3):422–424, http://dx.doi.org/10.1111/joim.13126
18. Middeldorp S, Coppens M, van Haaps TF, Foppen M, Vlaar AP, et al. Incidence of venous thromboembolism in hospitalized patients with COVID-19. J Thromb Haemost. 2020; 18(8):1995–2002, http://dx.doi.org/10.1111/jth.14888
19. Lodigiani C, Iapichino G, Carenzo L, Cecconi M, Ferrazzi P, et al. Venous and arterial thromboembolic complications in COVID-19 patients admitted to an academic hospital in Milan, Italy. Thromb Res. 2020; 191:9–14, http://dx.doi.org/10.1016/j.thromres.2020.04.024
20. Wichmann D, Sperhake J-P, Lütgehetmann M, Steurer S, Edler C, et al. Autopsy findings and venous thromboembolism in patients with COVID-19. Ann Intern Med 2020; 173(4):268–277, http://dx.doi.org/10.7326/M20-2003
21. Amezcua-Guerra LM, Rojas-Velasco G, Brianza-Padilla M, Vázquez-Range A, Márquez-Velasco R, et al. Presence of antiphospholipid antibodies in COVID-19: case series study. Ann Rheum Dis. 2021; 80(5):e73, http://dx.doi.org/10.1136/annrheumdis-2020-218100
22. Devreese KMJ, Linskens EA, Benoit D, Peperstraete H. Antiphospholipid antibodies in patients with COVID-19: a relevant observation? J Thromb Haemost. 2020; 18(9):2191–2201, http://dx.doi.org/10.1111/jth.14994
23. Siguret V, Voicu S, Neuwirth M, Delrue M, Gayat E, et al. Are antiphospholipid antibodies associated with thrombotic complications in critically ill COVID-19 patients? Thromb Res 2020; 195:74–6, http://dx.doi.org/10.1016/j.thromres.2020.07.016
24. Le Joncour A, Frere C, Martin-Toutain I, Gougis P, Ghillani-Dalbin P, et al. Antiphospholipid antibodies and thrombotic events in COVID-19 patients hospitalized in medicine ward. Autoimmun Rev 2021; 20(2):102729, http://dx.doi.org/10.1016/j.autrev.2020.102729
25. Liu X, Zhu L, Liu H, Cai Q, Yun Z, et al. Non-criteria antiphospholipid antibodies in antiphospholipid syndrome: Diagnostic value added. Front. Immunol. 2022; 13:972012, http://dx.doi.org/10.3389/fimmu.2022.972012
26. Bizzaro N, Ghirardello A, Zampieri S, Iaccarino L, Tozzoli R, et al. Anti-prothrombin antibodies predict thrombosis in patients with systemic lupus erythematosus: A 15-year longitudinal study. J Thromb Haemost. 2007; 5(6):1158–1164, http://dx.doi.org/10.1111/j.1538-7836.2007.02532.x
27. Litvinova E, Darnige L, Kirilovsky A, Burnel Y, de Luna G, et al. Prevalence and significance of non-conventional antiphospholipid antibodies in patients with clinical APS criteria. Front Immunol. 2018; 9:2971, http://dx.doi.org/10.3389/fimmu.2018.02971
28. Male C, Foulon D, Hoogendoorn H, Vegh P, Silverman E, et al. Predictive value of persistent versus transient antiphospholipid antibody subtypes for the risk of thrombotic events in pediatric patients with systemic lupus erythematosus. Blood 2005;106(13):4152–4158, http://dx.doi.org/10.1182/blood-2005-05-2048
29. Vollmer O, Tacquard C, Dieudonne Y, Nespola B, Sattler L, et al. Follow-up of COVID-19 patients: LA is transient but other aPLs are persistent. Autoimmun Rev. 2021; 20(6):102822, http://dx.doi.org/10.1016/j.autrev.2021.102822
30. Espinosa G, Zamora-Martinez C, Perez-Isidro A, Neto D, Bravo-Gallego LY, et al. Persistent antiphospholipid antibodies are not associated with worse clinical outcomes in a prospective cohort of hospitalised patients with SARS-CoV-2 infection. Front Immunol. 2022; 13:911979, http://dx.doi.org/10.3389/fimmu.2022.911979
31. Xiao M, Zhang Y, Zhang S, Qin X, Xia P, et al. Antiphospholipid antibodies in critically ill patients with COVID-19. Arthritis Rheumatol. 2020; 72(12):1998–2004, http://dx.doi.org/10.1002/art.41425
32. Sciascia S, Radin M, Bazzan M, Montaruli B, Cosseddu D, et al. Antiphospholipid antibodies and infection: non Nova Sed Nove. Front Immunol. 2021; 12:687534, http://dx.doi.org/10.3389/fimmu.2021.687534
Notas de autor
hernanramos79@gmail.com
Información adicional
redalyc-journal-id: 651